Working with Makie.jl
TapeMeasure.jl provides an extension that loads when the user calls using Makie, using CairoMakie, or other makie package in their code.
Changing Plot Settings:
You can change the plot settings using the following keyword arguments.
Settings
color::Symbol- changes the color of the dimension lines as well as the labelswith_mask::Bool- the label will not "mask" over the dimension linelinewidth- the line width of the dimension linesfontsize- the size of the label fontrotation- radians of rotation for the label
The keywords are a bit different from Plots.jl in order to be more consistent with Makie ecosystem, but that may change if it is an issue for users. See below for examples:
Examples
dims = h_dim(x, y)
f = Figure()
ax = Axis(f[1,1], autolimitaspect=1, dim1_conversion=uc, dim2_conversion=uc)
lines!.(ax, x, y, color=:lightgrey)
plot!(ax, dims, color=:blue, with_mask=false, fontsize = 10)
f
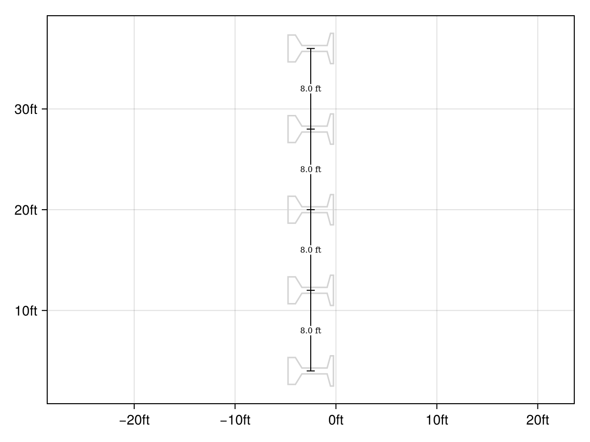
dims = v_dim(y, x)
f = Figure()
ax = Axis(f[1,1], autolimitaspect=1, dim1_conversion=uc, dim2_conversion=uc)
lines!.(ax, y, x, color=:lightgrey)
plot!(ax, dims, rotation = 0)
f